BOOK REVIEWS
Family Structure and Subjective Well-being of Older Adults in China: Impacts of Grandparent Coresidence, Grandparenting, and Family Support
Mengtong Chen is Assistant Professor at the Department of Social Work, The Chinese University of Hong Kong, Sha Tin, Hong Kong (mtchen@cuhk.edu.hk).
Yuanyuan Fu (corresponding author) is Associate Professor at the School of Social Development and Public Policy, Beijing Normal University. North Main Building 2003, 19 Xinjiekou Wai St., Beijing, China, 100875 (fuyuanyuan00@163.com).
Introduction
Multigenerational coresidence is an important form of living arrangement among families in China (Han, Li, and Whetung 2021; Li, Han, and Hu 2022). According to the Sixth National Population Census in 2010, 11.52% of urban families and 20.36% of rural families were three-generation households (Wang 2015). In addition, national census data showed that the percentage of three-generation households did not change significantly (Tong and Song 2016). The high incidence of grandparent coresidence reflects, to some extent, the traditional living arrangement for Chinese families, in which adult children have a filial obligation to their parents. However, grandparent coresidence in China today appears to be largely due to the combined influence of demographic effects and the changing socioeconomic and cultural context of China. Grandparents’ well-being can be significantly associated with such a living arrangement (Ren and Treiman 2015), especially when they engage in child caregiving (Xu and Chi 2011; Liu et al. 2019; Wen et al. 2019; Tang et al. 2022). In addition, informal social support from family members is an important predictor of psychological well-being in older adults (Chang and Huang 2020). In this study, we aim to provide evidence of the associations between grandparents’ subjective well-being and a range of family structure factors, such as grandparent coresidence, caring for grandchildren, and family support for grandparents, and the age and gender differences regarding these associations. That information will have implications on elder care in Chinese families.
Literature review
Grandparent coresidence and grandparenting: Characteristics of family structure in modern China
Chinese household structures have undergone tremendous changes in the 45 years since reform and opening up, including decreased household size, an increased percentage of one-person-only and one-couple-only households, and a decreased percentage of nuclear families.[1] On the other hand, the percentage of three-generation households has been relatively stable, and the percentage of skipped-generation households (families in which grandparents raise grandchildren with parental absence) has increased dramatically (Tong and Song 2016). The seemingly contradictory census results reveal the dynamic changes in the living arrangements of elderly individuals in China. The proportionally unchanged three-generation households can be explained by demographic effects: lengthening life expectancy means that a great number of very old adults still live with and receive caregiving from their adult children (Ren and Treiman 2015). At the same time, the number of nuclear families is decreasing significantly due to the rapid fertility decline in China (Wang 2014). Due to massive internal migration in China, older adults live in skipped-generation households and raise grandchildren in the absence of parents (Wen et al. 2019).
Family structure not only describes the members of a household that comprise a family but is concerned with the organisation of relationships within the family, the different roles that different members play, and their responsibilities. Multigenerational coresidence implies that childcare in the Chinese context can rely heavily on intergenerational ties and support (Xie and Xia 2011). Grandparents’ provision of care for grandchildren is often associated with family adversity and economic disadvantage in Western countries (DiGessa, Glaser, and Tinker 2013), but the picture is different in China, where grandparenting is mostly associated with the country’s rapid economic development and changing cultural context. Due to the nation’s inadequate provision of childcare, grandparents tend to play a supplementary role in childcare, and such a grandparenting arrangement can be regarded as a “family adaptive strategy” (Chen, Liu, and Mair 2011). Informal care by grandparents can alleviate mothers’ burdens and allow them to stay in the labour market (Du and Dong 2013). In rural China, millions of grandparents take care of their left-behind grandchildren, enabling the children’s parents (their adult children) to migrate to cities to pursue work (Ye et al. 2017). In these skipped-generation families, grandparents may act as the primary caregiver to their grandchildren.
Although some Chinese families still stick to the cultural tradition of familism, an increasing number of families are adopting a new concept of filial piety, in which intergenerational responsibility has changed (Fu, Xu, and Chui 2020). In conjunction with providing care for their elderly parents, adult children expect altruistic or reciprocal help from them (Chen, Liu, and Mair 2011). Therefore, grandparents’ provision of care for grandchildren is not merely a contributory behaviour but can be perceived as a reciprocally beneficial behaviour. An example is the intergenerational “time-for-money” reciprocity model in rural families, in which left-behind children’s grandparents who provide care for their grandchildren receive remittances from their migrant adult children (Cong and Silverstein 2008; Xu and Chi 2011). Thus, support for older adults from family members is essential to their well-being (Nyqvist et al. 2013; Zheng et al. 2022). According to Bronfenbrenner’s ecological model (1979), the perceived social support received from the family network operates at the micro level as a key factor in generating social capital and affects the well-being of older adults.
Associations between family structure and subjective well-being of grandparents: Potential explanations based on role theory
Subjective well-being and health are closely corelated, especially for older adults (Katz 2009; Lu et al. 2021; Chen, Fu, and Chang 2022). Subjective well-being not only refers to a general evaluation of how satisfied older people are with their lives, but also includes feelings or moods (e.g., happiness, stress) and judgement about the meaning and purpose of life (Steptoe, Deaton, and Stone 2015). With increasing attention having been paid in recent years to the phenomenon of grandparents coresiding with and raising their grandchildren, both the negative and positive effects on the grandparents’ well-being have been discussed (Grinstead et al. 2003).
From the perspective of role strain, individuals involved in different role relationships can have various role obligations at different times and places, and those obligations can demand several activities and responses. If the individuals lack sufficient resources and energy, the multiple role obligations can result in failure to fulfil role obligations (Goode 1960). The responsibilities associated with a grandparent’s role as the primary or supplementary caregiver may interfere with other roles in social relationships and cause conflicts. Providing care for grandchildren can be a main source of stress for coresident grandparents that demands them to devote time, energy, and resources and can further affect their subjective well-being (Baker and Silverstein 2008; Musil et al. 2010; Smith et al. 2015). A lack of social support and resources can therefore aggravate the health issues of coresident custodial grandparents (Hayslip, Fruhauf, and Dolbin-MacNab 2017). Additionally, family conflicts among grandparents, parents, and grandchildren can contribute to the grandparents’ poor health (Goodman et al. 2008).
On the other hand, there is also evidence that grandparents’ well-being can be positively impacted (DiGessa, Glaser, and Tinker 2015). From a role enhancement perspective, engaging in multiple roles should have beneficial effects because of the consequent accumulation of resources and role privileges and enhancement of status security and gratification (Sieber 1974). Among older adults who provide care to others, a high level of informal social integration has been found to be associated with reduced functional impairment (Rozario, Morrow-Howell, and Hinterlong 2004). Reciprocal relationships can exist between grandparents, adult children, and grandchildren. Such an increased level of social support and resourcefulness can therefore explain the positive outcomes of providing care for grandchildren (Hayslip, Blumenthal, and Garner 2014). Thus, it is important to consider the impacts of social support when using either the role strain or role enhancement perspective to explain grandparents’ roles in grandparent-grandchild households.
Existing research findings about the well-being of Chinese older adults living with different family structures
Living arrangement can be an important indicator of older adults’ subjective well-being, insofar as it relates to the actual or potential amount of social support they receive from family members (Liu et al. 2015). Living alone has been found to be a risk factor for mental health problems among elderly Chinese people (Chou, Ho, and Chi 2006; Hu et al. 2012; Ren and Treiman 2015; Stahl et al. 2017). Consistent with the role strain perspective, grandparents living in skipped-generation families were less happy and felt more depressed compared with those living in three-generation households (Ren and Treiman 2015; Wen et al. 2019), because they had to carry additional childcare obligations but were less likely to receive support from their adult children. Coresident grandparents in three-generation families were also found to have better emotional well-being outcomes compared with those living with adult children only (Ren and Treiman 2015). One explanation could be that the associations between elderly people’s living arrangements and their well-being outcomes may vary due to the mediating effect of family support and family conflict (Chen and Liu 2011; Ren and Treiman 2015). Grandchildren may play an important role in the family by providing emotional support and buffering conflicts between elderly people and their adult children.
However, research findings are inconsistent in terms of the association between providing childcare and grandparents’ subjective well-being. Research on grandparents’ psychological well-being has mostly focused on rural elderly people, for example – on left-behind children’s grandparents. Although those grandparents may face difficulties such as limited family-based elder care, increased workload for family chores, and child caregiving burdens, providing care for grandchildren has not been shown to have a salient influence on their well-being (Ye et al. 2017). In some recent studies, providing care for grandchildren was found to bring some benefits to grandparents’ mental health (Xu et al. 2017; Xu 2019; Tang et al. 2022). Grandparents’ involvement in childcare is associated with a higher level of instrumental support from adult children (Xu et al. 2018), as a result of which raising their grandchildren has been found to be positively associated with their subjective well-being (Cong and Silverstein 2008; Xu and Chi 2011). The findings are more consistent with the role enhancement perspective. In another recent study, custodial care was found to increase the levels of depressive symptoms of grandparents, regardless of the frequency of childcare they provided, a finding consistent with the role strain perspective (Silverstein and Zuo 2021). Furthermore, when comparing rural grandparents with urban grandparents, the latter (especially urban grandfathers) have reported better mental health (Xu 2019).
Overall, coresidence and caring for grandchildren can allow closer interactions within the family network, especially grandparent-grandchild interactions. The emotional closeness between grandparents and grandchildren, with their mutual support of each other, and the perceived filial piety from the grandchildren, have been shown to significantly contribute to grandparents’ self-rated health (Lou et al. 2013). Additionally, communication and emotional connections among family members have been shown to reduce loneliness in older adults (Zhou, Wang, and Yu 2018). Providing care for grandchildren can be regarded as an important form of contributory behaviour among older Chinese, and one that has beneficial effects on their mental health and has been associated with enhanced life satisfaction (Liu et al. 2019). However, grandparents may not benefit from their contributory behaviour in the context of custodial childcare in skipped-generation families when their adult children cannot provide reciprocal informal support to them (Silverstein and Zuo 2021).
Gender and age differences can exist with respect to the relationship between the family structure and elderly people’s well-being. Higher levels of depressive symptoms have been found in older women living alone than in older men (Chou, Ho, and Chi 2006), but a recent study showed no interaction effect between widowhood and gender (Yang 2021). Providing care for grandchildren has been associated with enhanced life satisfaction among grandfathers, but such an effect was not found to be significant among grandmothers (Liu et al. 2019; Dong et al. 2023). Social support can have its strongest effects on life satisfaction among very old Chinese, because they generally experience decreased physical function, rely on their children’s filial care, and are more financially dependent (Li and Liang 2007). However, additional evidence is still required on the effects that gender and age variation within the family structure exert on grandparents’ subjective well-being.
Summary
As discussed above, previous research has reported inconclusive associations between grandparents’ well-being and family structure factors (Chen and Liu 2011; Ku et al. 2013; Zhou et al. 2016; Liu et al. 2019; Xu 2019). The different associations may be explained by role strain or role enhancement, depending on the support and resources that grandparents have. In the current study, we focused on both rural and urban Chinese grandparents and tested the role enhancement hypotheses that (1) coresidence with grandchildren in three generation families, (2) providing childcare for grandchildren, and (3) receiving a high level of family support are associated with increased subjective well-being outcomes among grandparents. We also tested the role strain hypothesis that (4) living in a skipped-generation family is associated with decreased subjective well-being. Because the associations might differ with gender and age variations, we further investigate the associations across groups with various demographics.
Research design
Sampling strategy and data collection
We chose Yibin, Sichuan Province, as the sampling site, and adopted a multistep sampling method to collect data in 2018. About 11.7% of the Yibin population were 65 years and older.[2] This rapid-ageing trend in Yibin roughly approximates the average percentage of the ageing population (65 and older) in China (11.9%).[3] Several steps of sampling were used. First, we purposely selected three districts (Cuiping, Nanxi, and Xuzhou) in Yibin based on the varied economic development levels of the districts. Second, we used the probability proportionate to size sampling (PPS) method to choose communities in the urban area and villages in the rural area, and to assign a sampling quota in each selected community or village. We obtained lists of names of all the selected communities and villages from the local civil affairs bureaus. Third, in each selected community or village, we assigned the sampling quota evenly among the age groups (namely, 65-69, 70-74, 75-79, 80-84, and 85 years and above). Then, we adopted a systematic sampling method to select the respondents. 4,433 older adults completed face-to-face questionnaire interviews, with a response rate of 83%. We excluded questionnaires that were answered fully by proxies and those with missing values on the key variables of this study. Ultimately, we included 4,076 cases for analysis in this study. We obtained ethical approval from the Human Subject Ethics Subcommittee of the corresponding author’s affiliated university.
Measures
- Subjective well-being outcomes
Referring to the measurement of subjective well-being in previous studies (Lifshitz, Nimrod, and Bachner 2019; Shen and Zhang 2020; Lu 2022; Wang 2022), we adopted depression and life satisfaction to measure subjective well-being. Life satisfaction was measured using the Chinese version of the satisfaction with life scale (SWLS) (Diener et al. 1985), which is a seven-point scale with five items (ranging from 1 = strongly disagree to 7 = strongly agree). The total scores ranged from 5 to 35, with higher scores indicating a higher level of life satisfaction. In this study, the Cronbach’s α for the SWLS was 0.931. We assessed depression using the Center for Epidemiologic Studies short depression scale (CES-D 10) (Andresen et al. 1994), which is a four-point scale with 10 items (ranging from 0 = rarely or never to 3 = all of the time). The total scores ranged from 0 to 30, with a higher score indicating a higher level of depressive symptoms. The scale showed satisfactory internal consistency (Cronbach’s α = 0.836) in our study.
- Sociodemographic factors
Age was measured as a continuous variable, using chronological age. We recoded it into three categories: the young-old (aged between 65 and 74), the middle-old (aged between 75 and 84), and the old-old (85 years and older). Gender, education, and residence were measured by binary variables. Self-rated financial status was measured by a categorical variable, with 1 = very poor, 2 = poor, 3 = roughly adequate, and 4 = others. Then, we recoded that into three dummy variables: “very poor,” “poor,” and “roughly adequate.” We measured the instrumental activities of daily living (IADL) with eight items (Lawton and Brody 1969). The Cronbach’s α for the IADL was 0.899, and the total score of the IADL was 8. A high score implied significant independence in daily life.
- Family structure factors
Living arrangement was originally measured by a categorical variable (1 = living alone, 2 = three generations, 3 = skipped generations, and 4 = others). Then, we recoded it into three dummy variables: “living alone,” “three generations,” and “skipped generations.” The variable “grandparent providing childcare” was measured by asking “Do you need to take care of your grandchild(ren)” (1 = yes, 0 = no). We measured the family network by three questions from the subdimension of Lubben Social Network Scale (Lubben 1988), which measures the number and frequency of social contacts with family members and the perceived social support received from these sources. Specifically, two questions were about the number seen monthly in the family network members, and the number “feels close to” in the family network members (none, one, two, three or four, five to eight, and more than nine); and one question was about the frequency of contact with family network members (less than once a month, once a month, several times a month, once a week, several times a week, and daily). The total score for family network ranged from 0 to 15.
Data analysis
We first conducted a descriptive statistical analysis to describe the profile of the samples. We then conducted bivariate correlations between pairs of potential factors, life satisfaction, and depression. Correlations among all variables were conducted to avoid high correlation. According to Cohen (1988), if a significantly strong correlation (p < 0.05, coefficient ≥ 0.5) exists between two potential factors, one of them should be excluded, the choice of which is based on previous findings regarding the relationship between subjective well-being and those two factors. To examine the associations between the factors and subjective well-being, we conducted hierarchical regression analyses after controlling for sociodemographic factors (i.e., age, gender, education, self-rated financial status, residence, and IADL). Before conducting multiple linear regression analysis, the linearity of the correlation, homogeneity of variance of residuals, and normal distribution for residuals were all tested, and no multicollinearity among the independent factors was found. To examine the gender differences in the correlates of older adults’ life satisfaction and depression, we used separate multiple linear regression models for male and female samples. We also examined age group differences using hierarchical regression models. All data analyses were performed in IBM SPSS 20.0.
Results
Profile of the samples
A profile of the samples in this study is shown in Table 1. Participants’ ages ranged from 65 to 103 (mean = 76.2, SD = 7.2). Male participants comprised 46.8% of the sample, and females made up 53.2%. The majority of the participants had a low level of education, having attended only primary school or below (71.5%). Only 28.5% of the participants had attended middle school or above. Regarding self-rated financial status, 4.7% rated their financial status as very poor, 28.1% rated it as poor, 53.6% rated it as roughly adequate, and 13.6% rated it as other. Approximately 60% of the participants were urban residents. The mean score of the IADL was 6.8 (SD = 2.2) ranging from 0 to 8. Regarding living arrangement, 14.8% lived alone, 29.9% lived with their grandchildren and adult children in a three-generation family, and 6.4% lived with their grandchildren only in skipped-generation families. A total of 16.0% of the participants provided care for grandchildren. The mean score for the family network was 10.8 (SD = 2.8) ranging from 0 to 15. The mean scores for life satisfaction and depression were 26.0 (SD = 6.1) and 6.7 (SD = 5.7), respectively.
Table 1. Profile of the samples
| Variable | N | % | M (±SD) | Range | |
| Sociodemographic factors | |||||
| Age | 4,076 | 100.0 | 76.2 (±7.2) | 65-103 | |
| Gender | |||||
| Male | 1,906 | 46.8 | |||
| Female | 2,170 | 53.2 | |||
| Education | |||||
| Primary school or below | 2,916 | 71.5 | |||
| Middle school or above | 1,160 | 28.5 | |||
| Self-rated financial status | |||||
| Very poor | 192 | 4.7 | |||
| Poor | 1,145 | 28.1 | |||
| Roughly adequate | 2,183 | 53.6 | |||
| Other | 556 | 13.6 | |||
| Residence | |||||
| Urban area | 2,370 | 58.1 | |||
| Rural area | 1,706 | 41.9 | |||
| IADL | 4,076 | 100.0 | 6.8 (±2.2) | 0-8 | |
| Family structure factors | |||||
| Living arrangement | |||||
| Living alone | 605 | 14.8 | |||
| Three generations | 1219 | 29.9 | |||
| Skipped generations | 259 | 6.4 | |||
| Others | 1,993 | 48.9 | |||
| Grandparent providing childcare | |||||
| No | 3,423 | 84.0 | |||
| Yes | 653 | 16.0 | |||
| Family network | 4,076 | 100.0 | 10.8 (±2.8) | 0-15 | |
| Subjective well-being | |||||
| Life satisfaction | 4,076 | 100.0 | 26.0 (±6.1) | 5-35 | |
| Depression | 4,076 | 100.0 | 6.7 (±5.7) | 0-30 | |
Source: authors.
Factors affecting life satisfaction and depression
Before creating regression models, correlations for all the variables were described (shown in Table 2). We looked at the sociodemographic factors (i.e., age, gender, education, self-rated financial status, residence, and IADL), family structure factors (i.e., living arrangement, grandparent providing childcare, and family network), and dependent variables (life satisfaction and depression). By using a Pearson correlation coefficient or a Spearman’s rank correlation coefficient, participants’ gender, education, self-rated financial status, residence, IADL, living arrangement, grandparent providing childcare, and family network were found to be significantly correlated with their life satisfaction (p < 0.05); participants’ gender, education, self-rated financial status, residence, IADL, living arrangement, grandparent providing childcare, and family network were found to be significantly correlated with their depression (p < 0.05). No significant correlation was found between life satisfaction and age, and between depression and age. Moreover, we found a high correlation between life satisfaction and depression (p < 0.05, coefficient > 0.5). Our results did not reveal any other strong correlation among these potential factors.
Table 2. Correlations for all variables included in the models
Note: significance levels: * p < 0.05, ** p < 0.01, *** p < 0.001. Source: authors.We ran multiple linear regression models to explore the relationships between the factors and life satisfaction (shown in Table 3). Sociodemographic factors were taken into account in Model 1. Age, self-rated financial status, residence, and IADL were related to life satisfaction (all ps < 0.001), which explained 14.9% of the variance in the older adults’ life satisfaction: older age was associated with higher levels of life satisfaction; those perceiving their health as very poor, poor, or roughly adequate were more likely than others to have lower levels of life satisfaction; compared with urban residents, those living in rural areas reported lower levels of life satisfaction; those with better physical function reported higher levels of life satisfaction. Based on Model 1, we added living arrangement into Model 2. Living arrangement (living alone, p < 0.01; living with their grandchildren in three generation families, p < 0.001) was associated with life satisfaction. Based on Model 2, a grandparent providing childcare was added into Model 3 and showed a favourable statistical trend toward significance (p < 0.1). Model 4, the full model, included all of the potential factors and explained 17.8% of the variance in the older adults’ life satisfaction. The results of Model 4 showed that older adults who were of an older age, perceived their financial status as not (very) poor or roughly adequate, lived in an urban area, had high scores on the IADL, and received support from a family network were more likely than others to enjoy high life satisfaction (all ps < 0.001).
Table 3. Factors influencing life satisfaction
| Model 1 | Model 2 | Model 3 | Model 4 | |
| Beta | Beta | Beta | Beta | |
| Sociodemographic factors | ||||
| Age | 0.059*** | 0.072*** | 0.078*** | 0.075*** |
| Gender | 0.021 | 0.017 | 0.017 | 0.022 |
| Education | 0.008 | 0.005 | 0.006 | 0.004 |
| Self-rated financial status (very poor) | -0.257*** | -0.251*** | -0.251*** | -0.236*** |
| Self-rated financial status (poor) | -0.313*** | -0.308*** | -0.309*** | -0.292*** |
| Self-rated financial status (roughly adequate) | -0.094*** | -0.094*** | -0.094*** | -0.090*** |
| Residence | -0.112*** | -0.112*** | -0.111*** | -0.102*** |
| IADL | 0.114*** | 0.131*** | 0.128*** | 0.125*** |
| Family structure factors | ||||
| Living arrangement | ||||
| Living alone | -0.051** | -0.050** | -0.002 | |
| Three generations | 0.054*** | 0.045** | 0.015 | |
| Skipped generations | 0.021 | 0.008 | 0.009 | |
| Grandparent providing childcare | 0.031+ | 0.030+ | ||
| Family network | 0.165*** | |||
| Adjusted R2 | 0.149 | 0.155 | 0.155 | 0.178 |
| F | 89.961 (df = 8, 4067), p < 0.001 | 68.953 (df = 11, 4064), p < 0.001 | 63.501 (df = 12, 4063), p < 0.001 | 68.786 (df = 13, 4062), p < 0.001 |
Note: significance levels: + p < 0.1, * p < 0.05, ** p < 0.01, *** p < 0.001.
Source: authors.
With regard to factors that influence depression (shown in Table 4), in Model 5, we found age (p < 0.01), gender (p < 0.001), education (p < 0.01), self-rated financial status (very poor and poor, p < 0.001), residence (p < 0.001), and IADL (p < 0.001) to be related to depression, which explained 20.9% of the variance in the older adults’ depression: older age was associated with lower level of depression; compared with females, males reported lower levels of depression; those with higher educational levels reported higher levels of depression; those perceiving their health as very poor or poor were more likely than others to have higher levels of depression; compared with urban residents, those living in rural areas reported higher levels of depression; those with better physical function reported lower levels of depression. Living arrangement (living alone, p < 0.001; living with their grandchildren in three generation families, p < 0.01) was associated with depression in Model 6. As was the case in Model 3, we did not find a grandparent providing childcare to be significantly associated with depression (p > 0.05) in Model 7. Finally, Model 8, which contained all of the potential factors, explained 24.2% of the variance in older adults’ depression. The results of this full model showed that older adults who were of an older age (p < 0.001), were male (p < 0.001), had a lower level of education (p < 0.01), lived in an urban area (p < 0.001), had a higher score on the IADL (p < 0.001), and had a higher score on the family network (p < 0.001) were less likely to report depression. Older adults who perceived their financial status as very poor and poor were more likely to have depression (p < 0.001).
Table 4. Factors influencing depression
| Model 5 | Model 6 | Model 7 | Model 8 | |
| Beta | Beta | Beta | Beta | |
| Sociodemographic factors | ||||
| Age | -0.051** | -0.065*** | -0.068*** | -0.064*** |
| Gender | -0.108*** | -0.102*** | -0.102*** | -0.107*** |
| Education | 0.048** | 0.050** | 0.050** | 0.052** |
| Self-rated financial status (very poor) | 0.203*** | 0.196*** | 0.196*** | 0.180*** |
| Self-rated financial status (poor) | 0.251*** | 0.246*** | 0.246*** | 0.228*** |
| Self-rated financial status (roughly adequate) | 0.034 | 0.033 | 0.033 | 0.029 |
| Residence | 0.154*** | 0.154*** | 0.153*** | 0.144*** |
| IADL | -0.207*** | -0.225*** | -0.224*** | -0.220*** |
| Family structure factors | ||||
| Living arrangement | ||||
| Living alone | 0.064*** | 0.064*** | 0.012 | |
| Three generations | -0.046** | -0.042** | -0.010 | |
| Skipped generations | -0.017 | -0.011 | -0.012 | |
| Grandparent providing childcare | -0.013 | -0.013 | ||
| Family network | -0.176*** | |||
| Adjusted R2 | 0.209 | 0.216 | 0.216 | 0.242 |
| F | 135.681 (df = 8, 4067), p < 0.001 | 103.149 (df = 11, 4064), p < 0.001 | 94.595 (df = 12, 4063), p < 0.001 | 100.976 (df = 13, 4062), p < 0.001 |
Note: significance levels: + p < 0.1, * p < 0.05, ** p < 0.01, *** p < 0.001.
Source: authors.
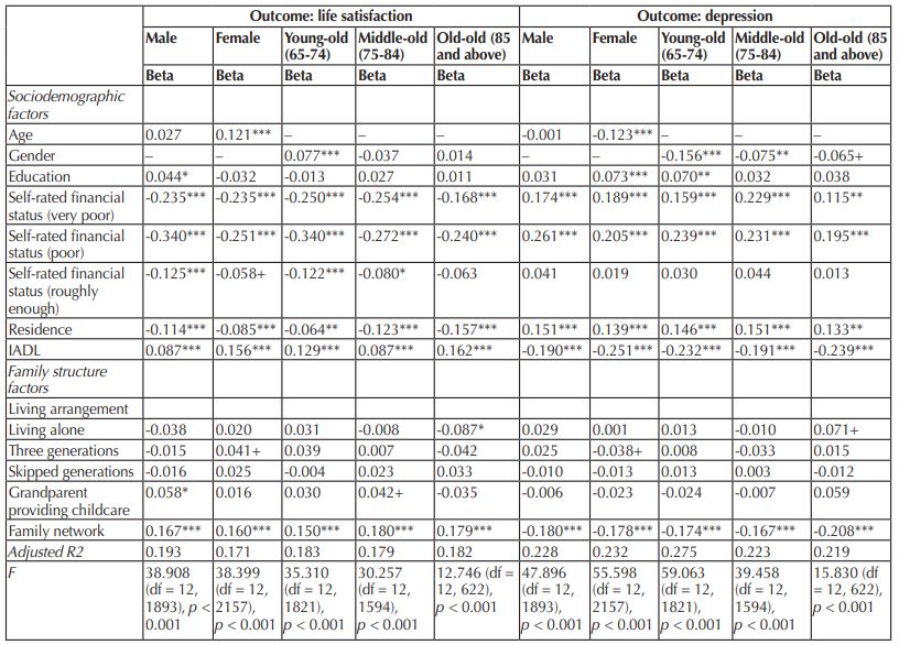
Gender and age differences in the association between family structure and subjective well-being
To examine the differences by gender, we ran two separate regression models, one for male participants and one for female participants (as shown in Table 5). We found that education (p < 0.05), self-rated financial status (p < 0.001), residence (p < 0.001), IADL (p < 0.001), grandparent providing childcare (p < 0.05), and family network (p < 0.001) were significantly related to male participants’ life satisfaction. In comparison, we found age, self-rated financial status, residence, IADL, and family network to be significantly related to female grandparents’ life satisfaction (all ps < 0.001). The explanatory power of the models for males and females were 19.3% and 17.1%, respectively.
To look at differences by age, we ran three separate regression models, one each for the young-old participants, the middle-old participants, and the old-old participants (as shown in Table 5). Among the young-old participants, gender (p < 0.001), self-rated financial status (p < 0.001), residence (p < 0.01), IADL (p < 0.001), and family network (p < 0.001) were significantly related to young-old life satisfaction. Among the middle-age participants, self-rated financial status (very poor and poor, p < 0.001; roughly adequate, p < 0.05), residence (p < 0.001), IADL (p < 0.001), and family network (p < 0.001) were significantly related to middle-old participants’ life satisfaction. Among the old-old participants, we found self-rated financial status (very poor and poor, p < 0.001), residence (p < 0.001), IADL score (p < 0.001), living alone (p < 0.05), and support from a family network (p < 0.001) to be significantly related to life satisfaction. The explanatory powers of the models for the three samples were 18.3%, 17.9%, and 18.2%, respectively.
The results of the association between gender and the influential factors for depression are also shown in Table 5. Self-rated financial status (very poor and poor), residence, IADL, and family network were found to be significantly associated with male participants’ score of depression (all ps < 0.001). In comparison, age, education, self-rated financial status (very poor and poor), residence, IADL, and family network were found to be significantly related to female participants’ depression (all ps < 0.001). The explanatory powers of the models for the male and female samples were 22.8%, and 23.2%, respectively.
With regard to age and its association with the factors influencing depression, we found gender (p < 0.001), education (p < 0.01), self-rated financial status (very poor and poor, p < 0.001), residence (p < 0.001), IADL (p < 0.001), and family network (p < 0.001) to be significantly associated with the scores of depression among the young-old (Table 5). Similarly, we found gender (p < 0.01), self-rated financial status (very poor and poor, p < 0.001), residence (p < 0.001), IADL (p < 0.001), and family network (p < 0.001) to be significantly related to depression among the middle-old. Finally, among the old-old, self-rated financial status (very poor, p < 0.01; poor, p < 0.001), residence (p < 0.001), IADL (p < 0.001), and family network (p < 0.001) were significantly related to depression. The explanatory powers of the models for the three age samples were 27.5%, 22.3%, and 21.9%, respectively.
Table 5. Factors influencing subjective well-being by gender and age
Discussion
China’s population is aging rapidly, with 190.6 million people above 65 years of age.[4] With the nation’s rapid socioeconomic development and urbanisation, Chinese families are in transition. People tend to favour smaller family households, but a considerable percentage of families still have grandparents and grandchildren living together (Shen et al. 2021). Traditionally, grandparents are the most obeyed and honoured members in the family, and their adult children and grandchildren have a filial responsibility to them (Mjelde-Mossey 2007). However, grandparents today are losing their traditional role – they are expected to care for their grandchildren or even to raise them, and support from their adult children is to some extent conditional on their contribution to childrearing (Cong and Silverstein 2008). Whether grandparents’ subjective well-being is associated with their living arrangements and their contemporary role as child caregivers has yet to be examined, according to the inconclusive findings from the existing studies.
This study has considered the relationships among grandparents’ subjective well-being, coresidence with their grandchildren, providing care for their grandchildren, and social support from family members. First, we found that the participants’ living arrangements showed an important correlation with the grandparents’ subjective well-being. It is not surprising that living alone was associated with a significantly increased level of depression and a low satisfaction with life. Consistent with the first hypothesis, living with grandchildren in three-generation households was associated with a significantly decreased level of depression and a high satisfaction with life. However, providing care for their grandchildren showed no association with either the grandparents’ life satisfaction or their symptoms of depression. Thus, the second hypothesis was not supported by our data. Based on data collected from adults aged 55 years and above with higher socioeconomic status in an urban area of China, childcare provision was positively related to life satisfaction among those living in three-generation households (Liu et al. 2019). Tang et al.’s (2022) study suggested that only a medium level of involvement in childcare was associated with fewer depressive symptoms. Future study needs to consider the level of childcare involvement and include a more diverse sample when examining the influence of childcare provision.
The association between living in three-generation households became insignificant after family network was added to the main effect. Thus, whereas determining whether child caregiving provides benefits to grandparents can be difficult, strong evidence appeared to suggest that a supportive family network can improve grandparents’ subjective well-being outcomes. Grandparents tended toward higher satisfaction with their lives if they received social support from their family networks. The results confirmed the study’s third hypothesis and indicated that family support exhibited the most salient association with grandparents’ life satisfaction and risk for depression. Thus, our results are partially consistent with the study by Zhou et al. (2016), which showed that emotional support from adult children was significantly correlated with better self-rated health of grandparents. Also, as indicated by Xu (2019) and Chang and Huang (2020), the emotional rewards of raising grandchildren and receiving support from adults may counteract the negative association with caregiver burden and decrease the level of depression and increase life satisfaction.
Finally, no evidence of role strain was found to support the fourth hypothesis, as living in skipped-generation households has no significant relationship with these subjective well-being outcomes, regardless of the level of childcare provision and family support. This finding contradicts the work by Silverstein and Zuo (2021), which shows that with limited support from adult children, custodial childcare can be harmful. Furthermore, Wen et al. (2019) found that grandparents living in skipped-generation households were less happy than those living in three-generation households or with a spouse. This means that more investigations into the subjective well-being of older adults need to be conducted.
We also found that a poor to very poor financial status and living in a rural area were both significantly associated with lower life satisfaction and increased symptoms of depression. Clearly, older Chinese living in rural areas are more disadvantaged with regard to formal social support, due to the significant urban-rural disparity in China (Shen, Li, and Tanui 2012; Tao 2017). Therefore, the resources that the grandparents possessed contributed significantly to their well-being, as our results demonstrated that a supportive family network was associated with a higher level of subjective well-being among grandparents. Other research also demonstrated that the life satisfaction of grandparents benefitted significantly from their grandchildren’s emotional and appraisal support (Lou 2010). Thus, whether role strain or role enhancement could explain the association of the grandparents’ coresidence with and caregiving for their grandchildren depended largely on the grandparent’s resources and social support. With sufficient resources, therefore, grandparents can better adjust to their multiple roles and can be more capable of coping with the difficulties associated with childrearing (Hayslip, Fruhauf, and Dolbin-MacNab 2017).
A few age disparities should be noted regarding the factors related to the subjective well-being among older Chinese. Living alone is a salient factor that contributes to decreased life satisfaction and increased depression among the old-old Chinese. One possible explanation is that the old-old are more vulnerable and dependent on care from their children and grandchildren, and thus they are more sensitive to living alone. Living arrangements and providing care for grandchildren were not associated with increased life satisfaction among the young-old, and providing care for their grandchildren may bring benefits for the middle-old. Those phenomena may indicate a reciprocal arrangement for dealing with childcare and elder care.
We have found that the family structure in China is still patriarchal to some extent and relies on the hierarchies of gender and age (Mjelde-Mossey 2007). There were significant gender differences in our model explaining grandparents’ life satisfaction. We discovered a significant positive association between providing childcare and life satisfaction only among grandfathers. The result is consistent with the studies by Liu et al. (2019) and Zhang et al. (2015). Because the social and cultural expectation is for female family members to care for children, grandmothers may take on more responsibilities than grandfathers as child caregivers and thus may experience additional burdens associated with that care (Chen, Liu, and Mair 2011; Wen et al. 2019). In contrast, grandfathers’ role in child caregiving may only be one of companionship and sharing family values, and not one of babysitting the grandchildren (Mjelde-Mossey 2007; Zhang et al. 2015). Previous studies have also demonstrated gender differences with regard to the relationship between Chinese older adults’ life satisfaction and their social capital (Lu et al. 2018), and the relationship between depression and social support (Cong and Silverstein 2008). In addition, the results of those studies demonstrated that older age was significantly associated with increased life satisfaction and decreased depression among grandmothers. However, the associations were not significant among grandfathers. One explanation could be that Chinese women can achieve a higher degree of social power than men can in later life (Mjelde-Mossey 2007). Therefore, even though Chinese grandparents tend to lose their traditional roles in the changing family structure, gender disparities still exist in grandparents’ psychological well-being.
The limitations of this study need to be considered in interpreting the results. First, providing childcare was assessed using only a dichotomised variable asking if the older adult needed to provide childcare for grandchildren. However, the grandparenting experience is a comprehensive concept, and can also be vastly heterogeneous across different family types. Grandparents can provide varied caregiving support and assume diverse roles in providing care for their grandchildren, and their child caregiving load, intensity, and activities can vary broadly, thus exerting very different impacts on their health outcomes (Chen and Liu 2011; Hayslip, Fruhauf, and Dolbin-MacNab 2017). Second, in this study we only selected older adults aged 65 and above, and we did not include the middle-aged and young old people who are more likely to take care of younger grandchildren. Third, in this study, the data were all self-reported and cross-sectional, which may cause a high degree of shared variance between the independent and dependent variables producing significant results. Thus, the limitations of this study highlight some important areas that need further exploration. Future research should address the endogenous relationship between well-being and caregiving, should examine heterogeneous groups of grandparents, should include more types of living arrangements, and should examine the grandparents’ involvement in child caregiving at different levels. Fourth, the impacts of internal migration on living arrangements for grandparents and grandchildren, childrearing, and social support need to be considered. Future research with a longitudinal study design and multiple methods of data collection (i.e., observation, and multiple informants) is also expected. In addition, China’s demographic composition and socioeconomic landscape are continuously evolving. Consequently, the connotations of concepts discussed in this research, such as family structures, grandparent roles, and family support, may also undergo changes in response to these shifts. Subsequent research should be attuned to period-specific characteristics of the findings presented in this paper, considering the dynamic nature of China’s population and socioeconomic dynamics.
This study has implications for future practices and social policies. In response to population aging, the government is pursuing a proactive strategy to develop and provide better services for older adults with special difficulties. The current study suggests that family relationships are vital for older adults living in different family structures, including for those who live alone. Interventions and policies should be developed to help older adults obtain family support and at the same time help reduce the burden of family caregivers. Whereas living with grandchildren can be related to psychological benefits for older adults, the current study did not find any significant association between caring for grandchildren and subjective well-being outcomes. As Chen and Liu (2011: 109) suggested, in the Chinese context, “caring for grandchildren is a normative way of life for many grandparents.” Whether grandparents value the emotional rewards of coresidence with and caring for grandchildren can depend largely on the support they receive from their family and the family network. In rural China, caring for grandchildren is not merely a contributory behaviour of grandparents, because they tend to shoulder additional childrearing and economic burdens. On the other hand, however, caregiving for grandchildren can be a survival strategy for ensuring old age support from one’s children, and that security can further benefit the grandparents’ subjective well-being (Cong and Silverstein 2008). It is therefore important for intervention programs targeting grandparents to include supportive components that increase family resources and social support for older adults (Chan et al. 2018). For policy makers, the design of family and childcare policies may take into account the important role of grandparents. It is necessary to extend policy to alleviate the childcare burden taken on by grandparents (Xu 2019). It is also highly important for the government to build formal support systems that will increase the financial status of older people, and in particular of those living in rural areas.
Conclusion
In summary, this study expands the literature on the associations between grandparents coresiding with and caring for their grandchildren and subjective well-being, as well as family support in association with subjective well-being. Grandmothers usually make more salient contributions to childrearing than grandfathers do, but they do not benefit significantly from such activities. The heterogeneity of grandparents in regard to the family structure and child caregiving needs to be further explored in future research.
Acknowledgements
This work was supported by Beijing Education Sciences Fourteenth Five-year Planning Young Scholar Project (Grant No. BACA21111).
Manuscript received on 28 November 2022. Accepted on 19 September 2023.
References
ANDRESEN, Elena, Judith A. MALMGREN, William B. CARTER, and Donald L. PATRICK. 1994. “Screening for Depression in Well Older Adults: Evaluation of a Short Form of the CES-D.” American Journal of Preventive Medicine 10(2): 77-84.
Baker, Lindsey A., and Merril Silverstein. 2008. "Depressive Symptoms among Grandparents Raising Grandchildren: The Impact of Participation in Multiple Roles." Journal of Intergenerational Relationships 6(3): 285-304.
Bronfenbrenner, Urie. 1979. The Ecology of Human Development. Cambridge: Harvard University Press.
CHAN, Ko Ling, Mengtong CHEN, Kin Ming Camilla LO, Qiqi CHEN, Susan J. KELLEY, and Patrick IP. 2018. "The Effectiveness of Interventions for Grandparents Raising Grandchildren: A Meta-analysis." Research on Social Work Practice 29(6): 607-17.
CHANG, Yaqing, and Jianyuan HUANG. 2020. "Impacts of Intergenerational Care for Grandchildren and Intergenerational Support on the Psychological Well-being of the Elderly in China." Revista Argentina de Clinica Psicologica 29(1): 57-64.
CHEN, Feinian, and Guangya LIU. 2011. "The Health Implications of Grandparents Caring for Grandchildren in China." The Journals of Gerontology: Series B 67(1): 99-112.
CHEN, Feinian, Guangya LIU, and Christine A. MAIR. 2011. "Intergenerational Ties in Context: Grandparents Caring for Grandchildren in China." Social Forces 90(2): 571-94.
CHEN, Mengni, Yuanyuan FU, and Qingsong CHANG. 2022. "Life Satisfaction Among Older Adults in Urban China: Does Gender Interact with Pensions, Social Support and Self-care Ability?" Ageing and Society 42(9): 2026-45.
CHOU, Kee Lee, Andy Hau Yan HO, and Iris CHI. 2006. "Living Alone and Depression in Chinese Older Adults." Aging & Mental Health 10(6): 583-91.
COHEN, Jacob. 1988. Statistical Power Analysis for the Behavioral Sciences (2nd ed.). London: Routledge.
CONG, Zhen, and Merril SILVERSTEIN. 2008. "Intergenerational Time-for-money Exchanges in Rural China: Does Reciprocity Reduce Depressive Symptoms of Older Grandparents?" Research in Human Development 5(1): 6-25.
DIENER, Ed, Robert A. EMMONS, Andy J. LARSEN, and Sharon GRIFFIN. 1985. "The Satisfaction with Life Scale." Journal of Personality Assessment 49(1): 71-5.
DiGESSA, Giorgio, Karen GLASER, and Anthea TINKER. 2015. "The Health Impact of Intensive and Nonintensive Grandchild Care in Europe: New Evidence from SHARE." The Journals of Gerontology: Series B 71(5): 867-79.
DONG, Xiangyu, Hongxiang LING, Tianyi YANG, and Kun WANG. 2023. "Grandchild Care and Life Satisfaction of Older Adults: Empirical Evidence from China." Frontiers in Psychology 14. https://doi.org/10.3389/fpsyg.2023.1081559
DU, Fenglian, and Xiao-yuan DONG. 2013. "Employment and Child Care Choices in Urban China during the Economic Transition." Economic Development and Cultural Change 62(1): 131-55.
FU, Yuanyuan, Yuebin XU, and Ernest Wing Tak CHUI. 2020. "Development and Validation of a Filial Piety Scale for Chinese Elders in Contemporary China." The International Journal of Aging and Human Development 90(2): 176-200.
GOODE, William J. 1960. "A Theory of Role Strain." American Sociological Review 25(4): 483-96.
GOODMAN, Catherine C., Philip P. TAN, Patricia ERNANDES, and Merril SILVERSTEIN. 2008. "The Health of Grandmothers Raising Grandchildren: Does the Quality of Family Relationships Matter?" Families, Systems, & Health 26: 417-30.
GRINSTEAD, Linda Nicholson, Sharon LEDER, Susan JENSEN, and Linda BOND. 2003. "Review of Research on the Health of Caregiving Grandparents." Journal of Advanced Nursing 44(3): 318-26.
HAN, Wen-Jui, Ying LI, and Cliff WHETUNG. 2021. "Who We Live with and How We Are Feeling: A Study of Household Living Arrangements and Subjective Well-being among Older Adults in China." Research on Aging 43(9-10): 388-402.
HAYSLIP, Bert Jr., Heidemarie BLUMENTHAL, and Ashley GARNER. 2014. "Social Support and Grandparent Caregiver Health: One-year Longitudinal Findings for Grandparents Raising their Grandchildren." The Journals of Gerontology: Series B 70(5): 804-12.
HAYSLIP, Bert Jr., Christine A. FRUHAUF, and Megan L. DOLBIN-MacNAB. 2017. "Grandparents Raising Grandchildren: What Have We Learned over the Past Decade?" The Gerontologist 59(3): e152-63.
HU, Xiu-Ying, Qian CHENG, Xiaodong PENG, Xuemei ZHANG, and Changquan HUANG. 2012. "Living Arrangements and Risk for Late Life Depression: A Meta-analysis of Published Literature." International Journal of Psychiatry in Medicine 43(1): 19-34.
KATZ, Ruth. 2009. "Intergenerational Family Relations and Subjective Well-being in Old Age: A Cross-national Study." European Journal of Ageing 6(2): 79-90.
KU, Li-Jung E., Sally C. STEARNS, Courtney H. van HOUTVEN, Shoou Yih D. LEE, Peggye Dilworth-Anderson, and Thomas R. KONRAD. 2013. "Impact of Caring for Grandchildren on the Health of Grandparents in Taiwan." The Journals of Gerontology: Series B 68(6): 1009-21.
LAWTON, M. Powell, and Elaine M. BRODY. 1969. "Assessment of Older People: Self-maintaining and Instrumental Activities of Daily Living." The Gerontologist 9(3): 179-86.
LIFSHITZ, Rinat, Galit NIMROD, and Yacoov G. BACHNER. 2019. "Spirituality and Wellbeing in Later Life: A Multidimensional Approach." Aging & Mental Health 23(8): 984-91.
LI, Lydia W., and Jersey LIANG. 2007. "Social Exchanges and Subjective Well-being among Older Chinese: Does Age Make a Difference?" Psychology and Aging 22(2): 386-91.
LI, Ying, Wen-Jui HAN, and Miao HU. 2022. "Does Internet Access Make a Difference for Older Adults’ Cognition in Urban China? The Moderating Role of Living Arrangements." Health & Social Care in the Community 30(4): e909-20.
LIU, Huijun, Xiuhua HAN, Qunying XIAO, Shuozhuo LI, and Marcus W. FELDMAN. 2015. "Family Structure and Quality of Life of Elders in Rural China: The Role of the New Rural Social Pension." Journal of Aging & Social Policy 27(2): 123-38.
LIU, Sizhe, Wei ZHANG, Li-hsueh WU, and Bei WU. 2019. "Contributory Behaviors and Life Satisfaction among Chinese Older Adults: Exploring Variations by Gender and Living Arrangements." Social Science & Medicine 229: 70-8.
LOU, Vivian W. Q. 2010. "Life Satisfaction of Older Adults in Hong Kong: The Role of Social Support from Grandchildren." Social Indicators Research 95(3): 377-91.
LOU, Vivian W. Q., Nan LU, Ling XU, and Iris CHI. 2013. "Grandparent-grandchild Family Capital and Self-rated Health of Older Rural Chinese Adults: The Role of the Grandparent-parent Relationship." The Journals of Gerontology: Series B, Psychological Sciences and Social Sciences 68(4): 599-608.
LUBBEN, James E. 1988. "Assessing Social Networks among Elderly Populations." Family & Community Health: The Journal of Health Promotion & Maintenance 11(3): 42-52.
LU, Nan, Nan JIANG, Vivian W. Q. LOU, Yue ZENG, and Meng LIU. 2018. "Does Gender Moderate the Relationship Between Social Capital and Life Satisfaction? Evidence from Urban China." Research on Aging 40(8): 740-61.
LU, Nan, Margaret SPENCER, Qian SUN, and Vivian W. Q. LOU. 2021. "Family Social Capital and Life Satisfaction among Older Adults Living Alone in Urban China: The Moderating Role of Functional Health." Aging & Mental Health 25(4): 695-702.
LU, Shiyu. 2022. "Longitudinal Associations between Perception of Future Time and Subjective Well-being among Middle-aged and Older People in China: The Moderating Roles of Individual Health and Socioeconomic Status." Quality of Life Research 31: 3009-18.
Mjelde-Mossey, Lee Ann. 2007. "Cultural and Demographic Changes and their Effects upon the Traditional Grandparent Role for Chinese Elders." Journal of Human Behavior in the Social Environment 16(3): 107-20.
MUSIL, Carol M., Nahida L. GORDON, Camille B. WARNER, Jaclene A. Zauszniewski, Theresa STANDING, and May WYKLE. 2010. "Grandmothers and Caregiving to Grandchildren: Continuity, Change, and Outcomes over 24 Months." The Gerontologist 51(1): 86-100.
NYQVIST, Fredrica, Anna K. FORSMAN, Gianfranco GIUNTOLI, and Mima CATTAN. 2013. "Social Capital as a Resource for Mental Well-being in Older People: A Systematic Review." Aging & Mental Health 17(4): 394-410.
REN, Qiang, and Donald J. TREIMAN. 2015. "Living Arrangements of the Elderly in China and Consequences for their Emotional Well-being." Chinese Sociological Review 47(3): 255-86.
ROZARIO, Philip A., Nancy Morrow-Howell, and James E. HINTERLONG. 2004. "Role Enhancement or Role Strain: Assessing the Impact of Multiple Productive Roles on Older Caregiver Well-being." Research on Aging 26(4) 413-28.
SHEN, Ke, Yong CAI, Feng WANG, and Zhan HU. 2021. "Changing Society, Changing Lives: Three Decades of Family Change in China." International Journal of Social Welfare 30: 453-64.
SHEN, Linlin 申琳琳, and ZHANG Zhen 張鎮. 2020. "隔代教養意願與祖輩主觀幸福感的關係: 家庭親密度與生命意義感的鏈式仲介作用" (Gedai jiaoyang yiyuan yu zubei zhuguan xingfugan de guanxi: Jiating qinmidu yu shengming yiyigan de lianshi zhongjie zuoyong, Relationship between grandparenting willingness and grandparents’ subjective well-being mediating role of family cohesion and meaning in life). Zhongguo linchuang xinlixue zazhi (中國臨床心理學雜誌) 28(4): 834-9.
SHEN, Suyan, Fang LI, and John Kipkorir TANUI. 2012. "Quality of Life and Old Age Social Welfare System for the Rural Elderly in China." Ageing International 37(3): 285-99.
SIEBER, Sam D. 1974. "Toward a Theory of Role Accumulation." American Sociological Review 39(4): 567-78.
SILVERSTEIN, Merril, Zhen CONG, and Shuozhuo LI. 2006. "Intergenerational Transfers and Living Arrangements of Older People in Rural China: Consequences for Psychological Well-being." The Journals of Gerontology: Series B 61(5): S256-66.
SILVERSTEIN, Merril, and Dongmei ZUO. 2021. "Grandparents Caring for Grandchildren in Rural China: Consequences for Emotional and Cognitive Health in Later Life." Aging & Mental Health 25(11): 2042-52.
SMITH, Gregory C., William MERCHANT, Bert HAYSLIP Jr., Gregory R. HANCOCK, Frederick STRIEDER, and Julian MONTORO-RODRIGUEZ. 2015. "Measuring the Parenting Practices of Custodial Grandmothers." Journal of Child and Family Studies 24(12): 3676-89.
STAHL, Sarah T., Scott R. BEACH, Donald MUSA, and Richard SCHULZ. 2017. "Living Alone and Depression: The Modifying Role of the Perceived Neighborhood Environment." Aging & Mental Health 21(10): 1065-71.
STEPTOE, Andrew, Angus DEATON, and Arthur A. STONE. 2015. "Subjective Wellbeing, Health, and Ageing." The Lancet 385(9968): 640-8.
TANG, Fengyan, Ke LI, Heejung JANG, and Mary Beth RAUKTIS. 2022. "Depressive Symptoms in the Context of Chinese Grandparents Caring for Grandchildren." Aging & Mental Health 26(6): 1120-6.
TAO, Jikun. 2017. "Can China’s New Rural Social Pension Insurance Adequately Protect the Elderly in Times of Population Ageing?" Journal of Asian Public Policy 10(2): 158-66.
TONG, Huijie 童輝, and SONG Dan 宋丹. 2016. "我國家庭結構的特點與發展趨勢分析" (Woguo jiating jiegou de tedian yu fazhan qushi fenxi, An analysis on the characteristics and trend of family structure in China). Shenzhen daxue xuebao (renwen sheke ban) (深圳大學學報(人文社科版)) 33(4): 118-23.
WANG, Huanhuan 王歡歡. 2022. "新農保對農村居民消費和主觀幸福感的影響研究" (Xin nong bao dui nongcun jumin xiaofei he zhuguan xingfugan de yingxiang yanjiu, Study on the impact of new rural insurance on rural residents’ consumption and subjective well-being). Yingyong shuxue jinzhan (應用數學進展) 11(1): 204-8.
WANG, Yuesheng. 2014. "An Analysis of Changes in the Chinese Family Structure between Urban and Rural Areas: On the Basis of the 2010 National Census Data." Social Sciences in China 35(4): 100-16.
———. 2015. "A Comparative Analysis of the Family Structure in China’s Different Regions: Based on the 2010 Census Data." Population & Economics 208: 34-48.
WEN, Ming, Qiang REN, Kim KORINEK, and Ha N. TRINH. 2019. "Living in Skipped Generation Households and Happiness among Middle-aged and Older Grandparents in China." Social Science Research 80: 145-55.
XIE, Xiaolin, and Yan XIA. 2011. "Grandparenting in Chinese Immigrant Families." Marriage & Family Review 47(6): 383-96.
XU, Lin, Man GUO, Jinyu LIU, and Weiyu MAO. 2018. "Grandparenting and Support from Adult Children: Does Children’s International Migration Make a Difference for Chinese Older Adults?" Journal of Ethnic & Cultural Diversity in Social Work 27(4): 382-97.
XU, Hongwei. 2019. "Physical and Mental Health of Chinese Grandparents Caring for Grandchildren and Great-grandparents." Social Science & Medicine 229: 106-16.
XU, Ling, and Iris CHI. 2011. "Life Satisfaction among Rural Chinese Grandparents: The Roles of Intergenerational Family Relationship and Support Exchange with Grandchildren." International Journal of Social Welfare 20(s1): S148-59.
XU, Ling, Fengyan TANG, Lydia W. LI, and Xin Qi DONG. 2017. "Grandparent Caregiving and Psychological Well-being among Chinese American Older Adults: The Roles of Caregiving Burden and Pressure." The Journals of Gerontology: Series A, Biological Sciences and Medical Sciences 72(suppl_1): S56-62.
YANG, Fang. 2021. "Widowhood and Loneliness among Chinese Older Adults: The Role of Education and Gender." Aging & Mental Health 25(7): 1214-23.
YE, Jingzhong, Congzhi HE, Juan LIU, Weijing WANG, and Shidong CHEN. 2017. "Left-behind Elderly: Shouldering a Disproportionate Share of Production and Reproduction in Supporting China’s Industrial Development." The Journal of Peasant Studies 44(5): 971-99.
ZHANG, Wei, Qiushi FENG, Lin LIU, and Zhihong ZHEN. 2015. "Social Engagement and Health: Findings from the 2013 Survey of the Shanghai Elderly Life and Opinion." The International Journal of Aging and Human Development 80(4): 332-56.
ZHENG, Xiao, Yaqing XUE, Fang DONG, Lei SHI, Shujuan XIAO, Jiachi ZHANG, Benli XUE, et al. 2022. "The Association Between Health-promoting-lifestyles, and Socioeconomic, Family Relationships, Social Support, Health-related Quality of Life Among Older Adults in China: A Cross Sectional Study." Health and Quality of Life Outcomes 20(1). https://doi.org/10.1186/s12955-022-01968-0
ZHOU, Jing, Weiyu MAO, Yura LEE, and Iris CHI. 2016. "The Impact of Caring for Grandchildren on Grandparents’ Physical Health Outcomes: The Role of Intergenerational Support." Research on Aging 39(5): 612-34.
ZHOU, Guangya, Yanhua WANG, and Xiaobo YU. 2018. "Direct and Indirect Effects of Family Functioning on Loneliness of Elderly Chinese Individuals." Current Psychology 37(1): 295-301.
[1] National Bureau of Statistics of China 國家統計局, “第七次全國人口普查公報” (Diqi ci quanguo renkou pucha gongbao, The bulletin of the Seventh National Census), 11 May 2021, https://www.gov.cn/guoqing/2021-05/13/content_5606149.htm (accessed on 22 September 2023).
[2] Health Commission of Sichuan Province 四川省衛生健康委員會, 2018, 四川衛生健康統計年鑒 (2018) (Sichuan weisheng jiankang tongji nianjian (2018), Sichuan health statistics yearbook 2018), http://wsjkw.sc.gov.cn/scwsjkw/njgb/2020/3/27/94a4be84a7f445f68649fee8945c15de.shtml (accessed on 22 September 2023).
[3] National Bureau of Statistics of China 國家統計局, 2019, 2018中國統計年鑒 (2018 Zhongguo tongji nianjian, National statistical yearbook 2018), www.stats.gov.cn/sj/ndsj/2018/indexch.htm (accessed on 22 September 2023).
[4] National Bureau of Statistics of China 國家統計局, “第七次(…)” (Diqi ci (…), The bulletin (…)), op. cit.
